Beschreibung der Rechenarten

Allgemeines

Alle Wertentwicklungen gehen von einer Wiederanlage der Ausschüttungen und - sofern nicht anders angegeben - einem Anlagebetrag von 1.000,-- EUR aus. Sofern nicht anders ausgewiesen, handelt es sich um Bruttowertentwicklungen (Berechnung nach der BVI-Methode). Beim Sparplan werden die monatlichen Einzahlungen - sofern nicht anders angegeben - mit einem Anlagebetrag von 50,-- EUR zum Rücknahmepreis angelegt. Bei den Wertentwicklungen handelt es sich um eine frühere Wertentwicklung.

Nettowertentwicklung:
Neben sämtlichen im Fonds anfallenden Kosten wird auch der jeweilige Ausgabeaufschlag berücksichtigt, der zu Beginn des hier dargestellten Wertentwicklungszeitraumes vom Anleger zu zahlen ist sowie ein ggfs. anfallender Rücknahmeabschlag (s. "Fondsprofil"). Eine eventuell anfallende, die Wertentwicklung mindernde Depotgebühr bleibt außer Betracht.

Bruttowertentwicklung:
Entspricht der Nettowertentwicklung, berücksichtigt aber keinen Ausgabeaufschlag und keinen ggfs anfallenden Rücknahmeabschlag.

BVI-Methode

Verfahren zur Berechnung der Wertentwicklung eines Fonds, die vom Verband der Fondsbranche, dem BVI Bundesverband Deutscher Investmentgesellschaften, verwendet wird. Dabei wird die Ausschüttung wiederangelegt und die Kosten der Anlage wie Ausgabeaufschlag , Rücknahmespesen, Depotgebühren oder Kontoführungsgebühren werden nicht berücksichtigt. Die so errechnete Wertentwicklung eines Fonds entspricht in der Regel nicht dem tatsächlichen Anlageergebnis, ermöglicht jedoch den Vergleich der Managementleistung verschiedener Fonds mit ähnlichem Anlageschwerpunkt, ohne dass diese durch die Gebührengestaltung verzerrt wird.

In unseren Rechenbeispielen und Diagrammen wird die Wertentwicklung der Einmalanlage nach dieser Methode errechnet.

Historische Wertentwicklungen

Berechnung einer Einzelanlage in Prozent

Zur Ermittlung der prozentualen Wertentwicklung einer Einzelanlage wird auf den Rücknahmepreis abgestellt und somit auf den Ausgabeaufschlag zu Gunsten einer einheitlichen Darstellung verzichtet. Eine eventuell in den Zeitraum fallende Ausschüttung oder Thesaurierung wird berücksichtigt. Die Berechnung der Wertentwicklung erfolgt nach den Vorgaben des BVI: „Die Berechnung der Wertentwicklung einer Einmalanlage erfolgt auf Basis der Anteilwerte. Der Anteilwert eines Fonds errechnet sich aus allen Vermögensgegenständen (Inventarwert, „Net Asset Value“) – einschließlich sämtlicher Erträge (z.B. Zinsen, Dividenden, Mieten) und unter Berücksichtigung von Kosten (z.B.  Verwaltungsvergütung) des Fonds – dividiert durch die Anzahl der ausgegebenen Anteile.“
Quelle: www.bvi.de

Berechnung einer Einzelanlage in Euro

Zur Ermittlung der prozentualen Wertentwicklung einer Einzelanlage wird auf den Rücknahmepreis abgestellt und somit auf den Ausgabeaufschlag zu Gunsten einer einheitlichen Darstellung verzichtet. Eine eventuell in den Zeitraum fallende Ausschüttung oder Thesaurierung wird berücksichtigt. Zunächst wird die prozentuale Wertentwicklung eines Fonds für einen bestimmten Zeitraum berechnet (siehe oben) und anschließend der Endbetrag durch Aufzinsung  berechnet.

Formel_Einzelanlage_Euro

Berechnung eines Sparplans in Prozent

Zur Ermittlung der prozentualen Wertentwicklung einer Einzelanlage wird auf den NAV (Net Asset Value) abgestellt und somit auf den Ausgabeaufschlag zu Gunsten einer einheitlichen Darstellung verzichtet. Eine eventuell in den  Zeitraum fallende Ausschüttung oder Thesaurierung wird berücksichtigt. Es werden zum ersten Börsentag eines Monats in Höhe der Spareinlage Anteile eines Fonds erworben. Verkaufsdatum ist der letzte Börsentag des letzten vollständig abgelaufenen Monats einer Zeitperiode. Im Falle einer Ausschüttung oder Thesaurierung werden zum Wiederanlagedatum entsprechend viele Anteile des jeweiligen Fonds zum gültigen NAV erworben. Dieser Vorgang wiederholt sich solange, bis der letzte Börsentag des Vormonats einer Zeitperiode erreicht ist. Zum letzten Börsentag des Vormonats werden die bis dahin erworbenen Anteile zum gültigen NAV verkauft.
Die Differenz zwischen den nominell eingezahlten Spareinlagen (bei 50 Euro pro Monat ergeben sich 600 Euro für die Zeitperiode 1 Jahr) und dem effektiven Gegenwert zum Zeitpunkt des Tages gibt den Wertzuwachs oder die Wertabnahme in Euro aus. Um die prozentuale Wertentwicklung zu ermitteln wird iterativ ein Zins ermittelt, mit dem alle Einlagen gemäß ihrer Anlagedauer verzinst werden und im kumulierten Ergebnis dem effektiven Endbetrag in Euro  entsprechen. Dieser Zins stellt dann die Wertentwicklung des Sparplans dar.

Berechnung eines Sparplans in Euro

Zur Ermittlung der prozentualen Wertentwicklung einer Einzelanlage wird auf den NAV (Net Asset Value) abgestellt und somit auf den Ausgabeaufschlag zu Gunsten einer einheitlichen Darstellung verzichtet. Eine eventuell in den  Zeitraum fallende Ausschüttung oder Thesaurierung wird berücksichtigt. Es werden zum ersten Börsentag eines Monats in Höhe der Spareinlage Anteile eines Fonds erworben. Verkaufsdatum ist der letzte Börsentag des letzten  vollständig abgelaufenen Monats einer Zeitperiode. Im Falle einer Ausschüttung oder Thesaurierung werden zum Wiederanlagedatum entsprechend viele Anteile des jeweiligen Fonds zum gültigen NAV erworben.
Dieser Vorgang wiederholt sich solange, bis der letzte Börsentag des Vormonats einer Zeitperiode erreicht ist. Zum letzten Börsentag des Vormonats werden die bis dahin erworbenen Anteile zum gültigen NAV verkauft.
Die Differenz zwischen den nominell eingezahlten Spareinlagen (bei 50 Euro pro Monat ergeben sich 600 Euro für die Zeitperiode 1 Jahr) und dem effektiven Gegenwert zum Zeitpunkt des Tages gibt die Wertzunahme oder die Wertabnahme in Euro aus.

Berechnung zukünftiger Wertentwicklungen

Berechnung einer Einzelanlage

Zur Ermittlung des Wertzuwachses gemessen in Euro wird bei einer Einzelanlage mit einem frei wählbarem Zins gerechnet. Die Laufzeit ist ebenfalls variabel und frei definierbar. Der Ausgabeaufschlag wird bei der Selektion eines  Fonds voreingestellt und entspricht dem aktuell gültigen Ausgabeaufschlag. Wird kein Fonds selektiert, kann der Ausgabeaufschlag optional eingegeben werden, ansonsten wird er nicht berücksichtigt.

Die Berechnung orientiert sich an der Formel für Zinseszinsrechnung.

Formel_Einzelanlage_Sparplan_Zukunft

Sollte mit Ausgabeaufschlag gerechnet werden, so wird der Anlagebetrag vor der Verzinsung um
eben diesen verringert.

Berechnung eines Sparplanes

Zur Ermittlung des Wertzuwachses gemessen in Euro wird bei einem Sparplan mit einem frei wählbarem Zins gerechnet. Die Laufzeit ist ebenfalls variabel und frei definierbar. Der Ausgabeaufschlag wird bei der Selektion eines Fonds voreingestellt und entspricht dem aktuell gültigen Ausgabeaufschlag. Wird kein Fonds selektiert kann der Ausgabeaufschlag optional  eingegeben werden, ansonsten wird er nicht berücksichtigt. 
Zur Ermittlung des Wertzuwachses gemessen in Euro bei einem Sparplan werden die einzelnen Anlagebeträge - analog zur Einzelanlage - gemäß ihrer unterschiedlich langen Laufzeit separat mit folgender Formel berechnet.

Formel_Einzelanlage_Sparplan_Zukunft

Die einzelnen Ergebnisse werden kumuliert und das daraus resultierende Endergebnis stellt den Endbetrag in Euro dar.

Berechnung einer Einzelanlage in Kombination mit einem Sparplan

Zur Ermittlung des Wertzuwachses gemessen in Euro wird bei einer Einzelanlage in Kombination mit einem Sparplan mit einem frei wählbarem Zins gerechnet. Die Laufzeit ist ebenfalls variabel und frei definierbar. Der  Ausgabeaufschlag wird bei der Selektion eines Fonds voreingestellt und entspricht dem aktuell gültigen Ausgabeaufschlag. Wird kein Fonds  selektiert, kann der Ausgabeaufschlag optional eingegeben werden, ansonsten wird er nicht berücksichtigt. Die Berechnung für die Einzelanlage erfolgt analog der Beschreibung "Berechnung einer Einzelanlage". Die Berechnung für den Sparplan erfolgt analog der Beschreibung "Berechnung eines Sparplans". Die zwei daraus resultierenden Ergebnisse werden addiert und als Endergebnis ausgegeben.

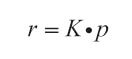
Berechnung eines Entnahmeplans mit Kapitalerhalt

Zur Ermittlung des regelmäßigen auszuzahlenden Betrages in Euro wird bei einem Entnahmeplan mit Kapitalerhalt mit einem frei wählbarem Zins gerechnet. Die Laufzeit ist unendlich, da die investierte Kapitalanlage nicht angetastet wird. Der Ausgabeaufschlag wird bei der Selektion eines Fonds voreingestellt und entspricht dem aktuell gültigen Ausgabeaufschlag. Wird kein Fonds selektiert, kann der Ausgabeaufschlag optional eingegeben werden, ansonsten wird er nicht berücksichtigt. Zusätzlich kann ein Jahr Wartezeit selektiert werden. Der Auszahlungszeitpunkt verschiebt sich dann um dieses eine Jahr. Diese Option bietet dem Anleger die Möglichkeit, der Kapitalminderung, die durch den Abzug des Ausgabeaufschlags entstanden ist, entgegen zu wirken. 
Die Berechnung für einen Entnahmeplan mit Kapitalerhalt basiert auf der Formel der „ewigen Rente“. Eine ewige Rente ist eine Rente, die aus dem Zinsertrag einer festverzinslichen Kapitalanlage gezahlt werden kann, ohne dass sich die Höhe des angelegten Kapitals ändert:

Formel_Entnahmeplan_mit_Kapitalerhalt

Wobei r der wiederholt zu zahlende Rentenbetrag, K das Anfangskapital und p der Kalkulationszinssatz sind.

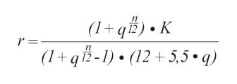
Berechnung eines Entnahmeplans ohne Kapitalerhalt

Zur Ermittlung des regelmäßigen auszuzahlenden Betrages in Euro wird bei einem Entnahmeplan ohne Kapitalerhalt mit einem frei wählbarem Zins gerechnet. Die Laufzeit ist ebenfalls variabel und frei definierbar. Der  Ausgabeaufschlag wird bei der Selektion eines Fonds voreingestellt und entspricht dem aktuell gültigen Ausgabeaufschlag. Wird kein Fonds  selektiert, kann der Ausgabeaufschlag optional eingegeben werden, ansonsten wird er nicht berücksichtigt. Zusätzlich kann ein Jahr Wartezeit selektiert werden. Der Auszahlungszeitpunkt verschiebt sich dann um dieses eine  Jahr. Diese Option bietet dem Anleger die Möglichkeit, der Kapitalminderung, die durch den Abzug des Ausgabeaufschlags entstanden ist, entgegen zu wirken. Die Berechnung für einen Entnahmeplan ohne Kapitalerhalt basiert  auf der folgenden Formel:

Formel_Entnahmeplan_ohne_Kapitalerhalt

Im Gegensatz zur Formel der „ewigen Rente“ muss beim Entnahmeplan ohne Kapitalerhalt berücksichtigt werden, dass nach einer bestimmten Laufzeit das Kapital restlos aufgebraucht ist.